- Pham Xuan Hieu

- Nov 9, 2025
- 2 min read
Updated: Nov 30, 2025
Help Franky fix the water system!

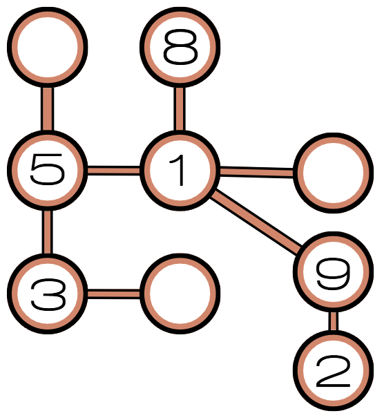
Answer

Explanation
The differences between any two pipe joints will be called D.
Notice that, because we are using natural number from 1 to 9, the maximum difference is 8 and minimum difference is 1 => 1 ≤ D ≤ 8
There are 8 connections in total, so all value of D will be used.
For D = 8, the only pair is 1 and 9 => 1 and 9 must be connected to each other
This is the reasoning baseline that we'll use: High D value can only be created by a few number pair. We'll exploit this to bound certain number together.
For D = 7, there are two possibilites: 1-8 or 2-9
Because 1 and 9 are connected, there must be a 9-1-8 or 2-9-1 chain
Let's look at 2-9-1 first
There are 4 possible placement for this chain, we'll look at them one by one.
Placement 1

2-9 for D=7 but 1-8 also create 7. This scenario is wrong.
Placement 2

9-1 for D=8, 9-2 for D=7, 8-2 for D=6
For D=5, we can only use 7-2
(9-4, 8-3, 6-1 are all impossible because at least one number in each pair can't make anymore connection)

Now, how do we get D=4?
9-5, 8-4, 7-3, 6-2, and 5-1 are all impossible
=> This scenario is incorrect.
Placement 3

In this placement, to create D=6, we can only use 7-1

But then it's impossible to make D=5
At least one number in each of these pair isn't available for connecting: 9-4, 8-3, 7-2, 6-1.
=> This scenario is false
Placement 4

You can reason this one out by yourself ദ്ദി(˵ •̀ ᴗ – ˵ )
Alright, so all 2-9-1 placements are wrong, so 9-1-8 must be correct. There are two ways to place a 9-1-8 chain
Placement 1

To make D=6, there is only 7-1
Then, we only have 9-4 for D=5

The remaining numbers are 2 and 6. However, no matter how you place them, the pair a-5 and b-3 will always have the same difference.
2-5 and 3-6, D=3
6-5 and 3-2, D=1
Placement 2

To make D=6, there is only 7-1
Afterward, there is only 7-2 for D=5

6-5 and 4-3 both makes D=1
=> 6-3 for D=3 and 4-5 for D=1

Free talk
Human taste is weird sometime. In the past week I've been listening to phonk - acelerada (sma$sher), montagem rugada (cape), it boy (bbno$) - but at the same time, I'm enjoying much slower songs like Waltz No.2, Somewhere (JayM), and Scarborough Fair.
EA is finally over, I have sometime to breathe before RD 😮💨



I gave this puzzle to around 10 ppl irl and most said its medium. So yeah, difficulty lowered 🪑
Not too hard. Interesting question
Not too hard to get the right answer... I think this puzzle better be medium rather than hard